Logo
 
Danmarks kvoteudnyttelse 2024-2026 i procent (akkumuleret) fordelt på uger.
Art = Kuller og Kvotefarvand = 03A.

Uge landet: 52
År: 2025
andel: 102 Uge landet: 52
År: 2024
andel: 99 Uge landet: 51
År: 2025
andel: 100 Uge landet: 51
År: 2024
andel: 97 Uge landet: 50
År: 2025
andel: 98 Uge landet: 50
År: 2024
andel: 96 Uge landet: 49
År: 2025
andel: 96 Uge landet: 49
År: 2024
andel: 92 Uge landet: 48
År: 2025
andel: 95 Uge landet: 48
År: 2024
andel: 88 Uge landet: 47
År: 2025
andel: 93 Uge landet: 47
År: 2024
andel: 84 Uge landet: 46
År: 2025
andel: 92 Uge landet: 46
År: 2024
andel: 80 Uge landet: 45
År: 2025
andel: 91 Uge landet: 45
År: 2024
andel: 77 Uge landet: 44
År: 2025
andel: 90 Uge landet: 44
År: 2024
andel: 74 Uge landet: 43
År: 2025
andel: 89 Uge landet: 43
År: 2024
andel: 72 Uge landet: 42
År: 2025
andel: 88 Uge landet: 42
År: 2024
andel: 71 Uge landet: 41
År: 2025
andel: 87 Uge landet: 41
År: 2024
andel: 69 Uge landet: 40
År: 2025
andel: 86 Uge landet: 40
År: 2024
andel: 66 Uge landet: 39
År: 2025
andel: 85 Uge landet: 39
År: 2024
andel: 63 Uge landet: 38
År: 2025
andel: 83 Uge landet: 38
År: 2024
andel: 62 Uge landet: 37
År: 2025
andel: 83 Uge landet: 37
År: 2024
andel: 57 Uge landet: 36
År: 2025
andel: 82 Uge landet: 36
År: 2024
andel: 55 Uge landet: 35
År: 2025
andel: 81 Uge landet: 35
År: 2024
andel: 52 Uge landet: 34
År: 2025
andel: 78 Uge landet: 34
År: 2024
andel: 49 Uge landet: 33
År: 2025
andel: 76 Uge landet: 33
År: 2024
andel: 47 Uge landet: 32
År: 2025
andel: 74 Uge landet: 32
År: 2024
andel: 45 Uge landet: 31
År: 2025
andel: 72 Uge landet: 31
År: 2024
andel: 42 Uge landet: 30
År: 2025
andel: 69 Uge landet: 30
År: 2024
andel: 39 Uge landet: 29
År: 2025
andel: 68 Uge landet: 29
År: 2024
andel: 37 Uge landet: 28
År: 2025
andel: 64 Uge landet: 28
År: 2024
andel: 36 Uge landet: 27
År: 2025
andel: 63 Uge landet: 27
År: 2024
andel: 33 Uge landet: 26
År: 2025
andel: 60 Uge landet: 26
År: 2024
andel: 31 Uge landet: 25
År: 2025
andel: 57 Uge landet: 25
År: 2024
andel: 29 Uge landet: 24
År: 2025
andel: 56 Uge landet: 24
År: 2024
andel: 28 Uge landet: 23
År: 2025
andel: 52 Uge landet: 23
År: 2024
andel: 26 Uge landet: 22
År: 2025
andel: 49 Uge landet: 22
År: 2024
andel: 25 Uge landet: 21
År: 2025
andel: 46 Uge landet: 21
År: 2024
andel: 24 Uge landet: 20
År: 2025
andel: 44 Uge landet: 20
År: 2024
andel: 22 Uge landet: 19
År: 2025
andel: 42 Uge landet: 19
År: 2024
andel: 22 Uge landet: 18
År: 2026
andel: 23 Uge landet: 18
År: 2025
andel: 40 Uge landet: 18
År: 2024
andel: 20 Uge landet: 17
År: 2026
andel: 22 Uge landet: 17
År: 2025
andel: 37 Uge landet: 17
År: 2024
andel: 19 Uge landet: 16
År: 2026
andel: 20 Uge landet: 16
År: 2025
andel: 34 Uge landet: 16
År: 2024
andel: 18 Uge landet: 15
År: 2026
andel: 16 Uge landet: 15
År: 2025
andel: 32 Uge landet: 15
År: 2024
andel: 15 Uge landet: 14
År: 2026
andel: 14 Uge landet: 14
År: 2025
andel: 29 Uge landet: 14
År: 2024
andel: 13 Uge landet: 13
År: 2026
andel: 12 Uge landet: 13
År: 2025
andel: 26 Uge landet: 13
År: 2024
andel: 12 Uge landet: 12
År: 2026
andel: 11 Uge landet: 12
År: 2025
andel: 23 Uge landet: 12
År: 2024
andel: 11 Uge landet: 11
År: 2026
andel: 10 Uge landet: 11
År: 2025
andel: 21 Uge landet: 11
År: 2024
andel: 10 Uge landet: 10
År: 2026
andel: 9 Uge landet: 10
År: 2025
andel: 18 Uge landet: 10
År: 2024
andel: 10 Uge landet: 9
År: 2026
andel: 8 Uge landet: 9
År: 2025
andel: 18 Uge landet: 9
År: 2024
andel: 10 Uge landet: 8
År: 2026
andel: 7 Uge landet: 8
År: 2025
andel: 16 Uge landet: 8
År: 2024
andel: 9 Uge landet: 7
År: 2026
andel: 6 Uge landet: 7
År: 2025
andel: 15 Uge landet: 7
År: 2024
andel: 9 Uge landet: 6
År: 2026
andel: 5 Uge landet: 6
År: 2025
andel: 14 Uge landet: 6
År: 2024
andel: 8 Uge landet: 5
År: 2026
andel: 5 Uge landet: 5
År: 2025
andel: 11 Uge landet: 5
År: 2024
andel: 7 Uge landet: 4
År: 2026
andel: 5 Uge landet: 4
År: 2025
andel: 9 Uge landet: 4
År: 2024
andel: 5 Uge landet: 3
År: 2026
andel: 3 Uge landet: 3
År: 2025
andel: 7 Uge landet: 3
År: 2024
andel: 5 Uge landet: 2
År: 2026
andel: 1 Uge landet: 2
År: 2025
andel: 4 Uge landet: 2
År: 2024
andel: 3 Uge landet: 1
År: 2026
andel: 0 Uge landet: 1
År: 2025
andel: 1 Uge landet: 1
År: 2024
andel: 1
Plot of andel by uge identified by aar

Kvotefarvand svarer til koder anvendt i TAC/Kvoteforordningen.
Note: Der kan forekomme flex mellem kvoter som ikke er medtaget i denne præsentation
Kilde: Styrelsen for Fødevare, Landbrug og Fiskeri's afregningsregister, 2. maj 2026 3:04 - foreløbige tal


Logo
 
Danmarks kvoteudnyttelse 2024-2026 i procent (akkumuleret) fordelt på uger.
Art = Kuller og Kvotefarvand = 1N2AB.

Uge landet: 52
År: 2024
andel: 100 Uge landet: 51
År: 2024
andel: 100 Uge landet: 50
År: 2024
andel: 100 Uge landet: 49
År: 2024
andel: 100 Uge landet: 48
År: 2024
andel: 100 Uge landet: 47
År: 2024
andel: 100 Uge landet: 46
År: 2024
andel: 100 Uge landet: 45
År: 2024
andel: 100 Uge landet: 44
År: 2024
andel: 100 Uge landet: 43
År: 2024
andel: 100 Uge landet: 42
År: 2024
andel: 100 Uge landet: 41
År: 2024
andel: 100 Uge landet: 40
År: 2024
andel: 100 Uge landet: 39
År: 2024
andel: 100 Uge landet: 38
År: 2024
andel: 100 Uge landet: 37
År: 2024
andel: 100 Uge landet: 36
År: 2024
andel: 100 Uge landet: 35
År: 2024
andel: 100 Uge landet: 34
År: 2024
andel: 100 Uge landet: 33
År: 2024
andel: 100 Uge landet: 32
År: 2024
andel: 100 Uge landet: 31
År: 2024
andel: 100 Uge landet: 30
År: 2024
andel: 100 Uge landet: 29
År: 2024
andel: 100 Uge landet: 28
År: 2024
andel: 100 Uge landet: 27
År: 2024
andel: 100 Uge landet: 26
År: 2024
andel: 100 Uge landet: 25
År: 2024
andel: 100 Uge landet: 24
År: 2024
andel: 100 Uge landet: 23
År: 2024
andel: 100 Uge landet: 22
År: 2024
andel: 100 Uge landet: 21
År: 2024
andel: 100 Uge landet: 20
År: 2024
andel: 100 Uge landet: 19
År: 2024
andel: 100 Uge landet: 18
År: 2024
andel: 100 Uge landet: 17
År: 2024
andel: 100 Uge landet: 16
År: 2024
andel: 100 Uge landet: 15
År: 2024
andel: 100 Uge landet: 14
År: 2024
andel: 100 Uge landet: 13
År: 2024
andel: 100 Uge landet: 12
År: 2024
andel: 100 Uge landet: 11
År: 2024
andel: 100 Uge landet: 10
År: 2024
andel: 100
Plot of andel by uge identified by aar

Kvotefarvand svarer til koder anvendt i TAC/Kvoteforordningen.
Note: Der kan forekomme flex mellem kvoter som ikke er medtaget i denne præsentation
Kilde: Styrelsen for Fødevare, Landbrug og Fiskeri's afregningsregister, 2. maj 2026 3:04 - foreløbige tal


Logo
 
Danmarks kvoteudnyttelse 2024-2026 i procent (akkumuleret) fordelt på uger.
Art = Kuller og Kvotefarvand = 2AC4.

Uge landet: 52
År: 2025
andel: 57 Uge landet: 52
År: 2024
andel: 58 Uge landet: 51
År: 2025
andel: 56 Uge landet: 51
År: 2024
andel: 58 Uge landet: 50
År: 2025
andel: 55 Uge landet: 50
År: 2024
andel: 58 Uge landet: 49
År: 2025
andel: 55 Uge landet: 49
År: 2024
andel: 57 Uge landet: 48
År: 2025
andel: 54 Uge landet: 48
År: 2024
andel: 57 Uge landet: 47
År: 2025
andel: 54 Uge landet: 47
År: 2024
andel: 57 Uge landet: 46
År: 2025
andel: 53 Uge landet: 46
År: 2024
andel: 56 Uge landet: 45
År: 2025
andel: 52 Uge landet: 45
År: 2024
andel: 55 Uge landet: 44
År: 2025
andel: 51 Uge landet: 44
År: 2024
andel: 54 Uge landet: 43
År: 2025
andel: 51 Uge landet: 43
År: 2024
andel: 53 Uge landet: 42
År: 2025
andel: 50 Uge landet: 42
År: 2024
andel: 52 Uge landet: 41
År: 2025
andel: 49 Uge landet: 41
År: 2024
andel: 51 Uge landet: 40
År: 2025
andel: 48 Uge landet: 40
År: 2024
andel: 48 Uge landet: 39
År: 2025
andel: 42 Uge landet: 39
År: 2024
andel: 48 Uge landet: 38
År: 2025
andel: 39 Uge landet: 38
År: 2024
andel: 44 Uge landet: 37
År: 2025
andel: 35 Uge landet: 37
År: 2024
andel: 41 Uge landet: 36
År: 2025
andel: 31 Uge landet: 36
År: 2024
andel: 38 Uge landet: 35
År: 2025
andel: 28 Uge landet: 35
År: 2024
andel: 32 Uge landet: 34
År: 2025
andel: 25 Uge landet: 34
År: 2024
andel: 30 Uge landet: 33
År: 2025
andel: 21 Uge landet: 33
År: 2024
andel: 25 Uge landet: 32
År: 2025
andel: 17 Uge landet: 32
År: 2024
andel: 22 Uge landet: 31
År: 2025
andel: 16 Uge landet: 31
År: 2024
andel: 19 Uge landet: 30
År: 2025
andel: 15 Uge landet: 30
År: 2024
andel: 17 Uge landet: 29
År: 2025
andel: 14 Uge landet: 29
År: 2024
andel: 16 Uge landet: 28
År: 2025
andel: 12 Uge landet: 28
År: 2024
andel: 16 Uge landet: 27
År: 2025
andel: 11 Uge landet: 27
År: 2024
andel: 14 Uge landet: 26
År: 2025
andel: 10 Uge landet: 26
År: 2024
andel: 13 Uge landet: 25
År: 2025
andel: 10 Uge landet: 25
År: 2024
andel: 10 Uge landet: 24
År: 2025
andel: 9 Uge landet: 24
År: 2024
andel: 7 Uge landet: 23
År: 2025
andel: 8 Uge landet: 23
År: 2024
andel: 7 Uge landet: 22
År: 2025
andel: 8 Uge landet: 22
År: 2024
andel: 6 Uge landet: 21
År: 2025
andel: 7 Uge landet: 21
År: 2024
andel: 5 Uge landet: 20
År: 2025
andel: 7 Uge landet: 20
År: 2024
andel: 5 Uge landet: 19
År: 2025
andel: 6 Uge landet: 19
År: 2024
andel: 5 Uge landet: 18
År: 2026
andel: 11 Uge landet: 18
År: 2025
andel: 6 Uge landet: 18
År: 2024
andel: 4 Uge landet: 17
År: 2026
andel: 10 Uge landet: 17
År: 2025
andel: 5 Uge landet: 17
År: 2024
andel: 4 Uge landet: 16
År: 2026
andel: 10 Uge landet: 16
År: 2025
andel: 4 Uge landet: 16
År: 2024
andel: 3 Uge landet: 15
År: 2026
andel: 10 Uge landet: 15
År: 2025
andel: 4 Uge landet: 15
År: 2024
andel: 3 Uge landet: 14
År: 2026
andel: 9 Uge landet: 14
År: 2025
andel: 3 Uge landet: 14
År: 2024
andel: 3 Uge landet: 13
År: 2026
andel: 8 Uge landet: 13
År: 2025
andel: 3 Uge landet: 13
År: 2024
andel: 3 Uge landet: 12
År: 2026
andel: 7 Uge landet: 12
År: 2025
andel: 3 Uge landet: 12
År: 2024
andel: 3 Uge landet: 11
År: 2026
andel: 6 Uge landet: 11
År: 2025
andel: 2 Uge landet: 11
År: 2024
andel: 2 Uge landet: 10
År: 2026
andel: 4 Uge landet: 10
År: 2025
andel: 2 Uge landet: 10
År: 2024
andel: 2 Uge landet: 9
År: 2026
andel: 3 Uge landet: 9
År: 2025
andel: 2 Uge landet: 9
År: 2024
andel: 2 Uge landet: 8
År: 2026
andel: 2 Uge landet: 8
År: 2025
andel: 2 Uge landet: 8
År: 2024
andel: 2 Uge landet: 7
År: 2026
andel: 2 Uge landet: 7
År: 2025
andel: 2 Uge landet: 7
År: 2024
andel: 2 Uge landet: 6
År: 2026
andel: 1 Uge landet: 6
År: 2025
andel: 1 Uge landet: 6
År: 2024
andel: 2 Uge landet: 5
År: 2026
andel: 1 Uge landet: 5
År: 2025
andel: 1 Uge landet: 5
År: 2024
andel: 2 Uge landet: 4
År: 2026
andel: 1 Uge landet: 4
År: 2025
andel: 1 Uge landet: 4
År: 2024
andel: 1 Uge landet: 3
År: 2026
andel: 1 Uge landet: 3
År: 2025
andel: 1 Uge landet: 3
År: 2024
andel: 1 Uge landet: 2
År: 2026
andel: 0 Uge landet: 2
År: 2025
andel: 0 Uge landet: 2
År: 2024
andel: 1 Uge landet: 1
År: 2026
andel: 0 Uge landet: 1
År: 2025
andel: 0 Uge landet: 1
År: 2024
andel: 0
Plot of andel by uge identified by aar

Kvotefarvand svarer til koder anvendt i TAC/Kvoteforordningen.
Note: Der kan forekomme flex mellem kvoter som ikke er medtaget i denne præsentation
Kilde: Styrelsen for Fødevare, Landbrug og Fiskeri's afregningsregister, 2. maj 2026 3:04 - foreløbige tal


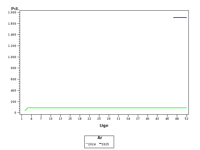
Logo
 
Danmarks kvoteudnyttelse 2024-2026 i procent (akkumuleret) fordelt på uger.
Art = Kuller og Kvotefarvand = 5BC6A.

Uge landet: 52
År: 2025
andel: 1.702 Uge landet: 52
År: 2024
andel: 86 Uge landet: 51
År: 2025
andel: 1.702 Uge landet: 51
År: 2024
andel: 86 Uge landet: 50
År: 2025
andel: 1.702 Uge landet: 50
År: 2024
andel: 86 Uge landet: 49
År: 2025
andel: 1.702 Uge landet: 49
År: 2024
andel: 86 Uge landet: 48
År: 2025
andel: 1.702 Uge landet: 48
År: 2024
andel: 86 Uge landet: 47
År: 2024
andel: 86 Uge landet: 46
År: 2024
andel: 86 Uge landet: 45
År: 2024
andel: 86 Uge landet: 44
År: 2024
andel: 86 Uge landet: 43
År: 2024
andel: 86 Uge landet: 42
År: 2024
andel: 86 Uge landet: 41
År: 2024
andel: 86 Uge landet: 40
År: 2024
andel: 86 Uge landet: 39
År: 2024
andel: 86 Uge landet: 38
År: 2024
andel: 86 Uge landet: 37
År: 2024
andel: 86 Uge landet: 36
År: 2024
andel: 86 Uge landet: 35
År: 2024
andel: 86 Uge landet: 34
År: 2024
andel: 86 Uge landet: 33
År: 2024
andel: 86 Uge landet: 32
År: 2024
andel: 86 Uge landet: 31
År: 2024
andel: 86 Uge landet: 30
År: 2024
andel: 86 Uge landet: 29
År: 2024
andel: 86 Uge landet: 28
År: 2024
andel: 86 Uge landet: 27
År: 2024
andel: 86 Uge landet: 26
År: 2024
andel: 86 Uge landet: 25
År: 2024
andel: 86 Uge landet: 24
År: 2024
andel: 86 Uge landet: 23
År: 2024
andel: 86 Uge landet: 22
År: 2024
andel: 86 Uge landet: 21
År: 2024
andel: 86 Uge landet: 20
År: 2024
andel: 86 Uge landet: 19
År: 2024
andel: 86 Uge landet: 18
År: 2024
andel: 86 Uge landet: 17
År: 2024
andel: 86 Uge landet: 16
År: 2024
andel: 86 Uge landet: 15
År: 2024
andel: 86 Uge landet: 14
År: 2024
andel: 86 Uge landet: 13
År: 2024
andel: 86 Uge landet: 12
År: 2024
andel: 86 Uge landet: 11
År: 2024
andel: 86 Uge landet: 10
År: 2024
andel: 86 Uge landet: 9
År: 2024
andel: 86 Uge landet: 8
År: 2024
andel: 86 Uge landet: 7
År: 2024
andel: 86 Uge landet: 6
År: 2024
andel: 86 Uge landet: 5
År: 2024
andel: 86 Uge landet: 4
År: 2024
andel: 86 Uge landet: 3
År: 2024
andel: 86 Uge landet: 2
År: 2024
andel: 36
Plot of andel by uge identified by aar

Kvotefarvand svarer til koder anvendt i TAC/Kvoteforordningen.
Note: Der kan forekomme flex mellem kvoter som ikke er medtaget i denne præsentation
Kilde: Styrelsen for Fødevare, Landbrug og Fiskeri's afregningsregister, 2. maj 2026 3:04 - foreløbige tal