Logo
 
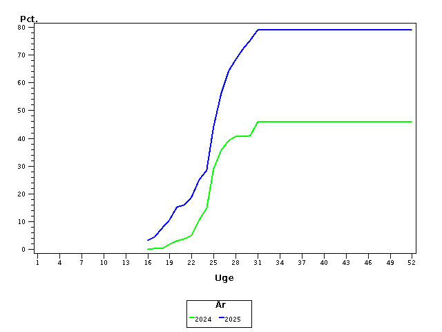
Danmarks kvoteudnyttelse 2024-2026 i procent (akkumuleret) fordelt på uger.
Art = Tobis og Kvotefarvand = 234_1R

Uge landet: 52
År: 2025
andel: 79 Uge landet: 52
År: 2024
andel: 46 Uge landet: 51
År: 2025
andel: 79 Uge landet: 51
År: 2024
andel: 46 Uge landet: 50
År: 2025
andel: 79 Uge landet: 50
År: 2024
andel: 46 Uge landet: 49
År: 2025
andel: 79 Uge landet: 49
År: 2024
andel: 46 Uge landet: 48
År: 2025
andel: 79 Uge landet: 48
År: 2024
andel: 46 Uge landet: 47
År: 2025
andel: 79 Uge landet: 47
År: 2024
andel: 46 Uge landet: 46
År: 2025
andel: 79 Uge landet: 46
År: 2024
andel: 46 Uge landet: 45
År: 2025
andel: 79 Uge landet: 45
År: 2024
andel: 46 Uge landet: 44
År: 2025
andel: 79 Uge landet: 44
År: 2024
andel: 46 Uge landet: 43
År: 2025
andel: 79 Uge landet: 43
År: 2024
andel: 46 Uge landet: 42
År: 2025
andel: 79 Uge landet: 42
År: 2024
andel: 46 Uge landet: 41
År: 2025
andel: 79 Uge landet: 41
År: 2024
andel: 46 Uge landet: 40
År: 2025
andel: 79 Uge landet: 40
År: 2024
andel: 46 Uge landet: 39
År: 2025
andel: 79 Uge landet: 39
År: 2024
andel: 46 Uge landet: 38
År: 2025
andel: 79 Uge landet: 38
År: 2024
andel: 46 Uge landet: 37
År: 2025
andel: 79 Uge landet: 37
År: 2024
andel: 46 Uge landet: 36
År: 2025
andel: 79 Uge landet: 36
År: 2024
andel: 46 Uge landet: 35
År: 2025
andel: 79 Uge landet: 35
År: 2024
andel: 46 Uge landet: 34
År: 2025
andel: 79 Uge landet: 34
År: 2024
andel: 46 Uge landet: 33
År: 2025
andel: 79 Uge landet: 33
År: 2024
andel: 46 Uge landet: 32
År: 2025
andel: 79 Uge landet: 32
År: 2024
andel: 46 Uge landet: 31
År: 2025
andel: 79 Uge landet: 31
År: 2024
andel: 46 Uge landet: 30
År: 2025
andel: 75 Uge landet: 30
År: 2024
andel: 41 Uge landet: 29
År: 2025
andel: 72 Uge landet: 29
År: 2024
andel: 41 Uge landet: 28
År: 2025
andel: 68 Uge landet: 28
År: 2024
andel: 41 Uge landet: 27
År: 2025
andel: 64 Uge landet: 27
År: 2024
andel: 39 Uge landet: 26
År: 2025
andel: 56 Uge landet: 26
År: 2024
andel: 36 Uge landet: 25
År: 2025
andel: 44 Uge landet: 25
År: 2024
andel: 29 Uge landet: 24
År: 2025
andel: 28 Uge landet: 24
År: 2024
andel: 15 Uge landet: 23
År: 2025
andel: 25 Uge landet: 23
År: 2024
andel: 11 Uge landet: 22
År: 2025
andel: 19 Uge landet: 22
År: 2024
andel: 5 Uge landet: 21
År: 2025
andel: 16 Uge landet: 21
År: 2024
andel: 4 Uge landet: 20
År: 2025
andel: 15 Uge landet: 20
År: 2024
andel: 3 Uge landet: 19
År: 2025
andel: 11 Uge landet: 19
År: 2024
andel: 2 Uge landet: 18
År: 2026
andel: 0 Uge landet: 18
År: 2025
andel: 8 Uge landet: 18
År: 2024
andel: 0 Uge landet: 17
År: 2026
andel: 0 Uge landet: 17
År: 2025
andel: 5 Uge landet: 17
År: 2024
andel: 0 Uge landet: 16
År: 2026
andel: 0 Uge landet: 16
År: 2025
andel: 3 Uge landet: 16
År: 2024
andel: 0
Plot of andel by uge identified by aar

Kvotefarvand svarer til koder anvendt i TAC/Kvoteforordningen.
Note: Der kan forekomme flex mellem kvoter som ikke er medtaget i denne præsentation
Kilde: Styrelsen for Fødevare, Landbrug og Fiskeri's afregningsregister, 2. maj 2026 3:04 - foreløbige tal


Logo
 
Danmarks kvoteudnyttelse 2024-2026 i procent (akkumuleret) fordelt på uger.
Art = Tobis og Kvotefarvand = 234_2R

Uge landet: 52
År: 2025
andel: 95 Uge landet: 52
År: 2024
andel: 55 Uge landet: 51
År: 2025
andel: 95 Uge landet: 51
År: 2024
andel: 55 Uge landet: 50
År: 2025
andel: 95 Uge landet: 50
År: 2024
andel: 55 Uge landet: 49
År: 2025
andel: 95 Uge landet: 49
År: 2024
andel: 55 Uge landet: 48
År: 2025
andel: 95 Uge landet: 48
År: 2024
andel: 55 Uge landet: 47
År: 2025
andel: 95 Uge landet: 47
År: 2024
andel: 55 Uge landet: 46
År: 2025
andel: 95 Uge landet: 46
År: 2024
andel: 55 Uge landet: 45
År: 2025
andel: 95 Uge landet: 45
År: 2024
andel: 55 Uge landet: 44
År: 2025
andel: 95 Uge landet: 44
År: 2024
andel: 55 Uge landet: 43
År: 2025
andel: 95 Uge landet: 43
År: 2024
andel: 55 Uge landet: 42
År: 2025
andel: 95 Uge landet: 42
År: 2024
andel: 55 Uge landet: 41
År: 2025
andel: 95 Uge landet: 41
År: 2024
andel: 55 Uge landet: 40
År: 2025
andel: 95 Uge landet: 40
År: 2024
andel: 55 Uge landet: 39
År: 2025
andel: 95 Uge landet: 39
År: 2024
andel: 55 Uge landet: 38
År: 2025
andel: 95 Uge landet: 38
År: 2024
andel: 55 Uge landet: 37
År: 2025
andel: 95 Uge landet: 37
År: 2024
andel: 55 Uge landet: 36
År: 2025
andel: 95 Uge landet: 36
År: 2024
andel: 55 Uge landet: 35
År: 2025
andel: 95 Uge landet: 35
År: 2024
andel: 55 Uge landet: 34
År: 2025
andel: 95 Uge landet: 34
År: 2024
andel: 55 Uge landet: 33
År: 2025
andel: 95 Uge landet: 33
År: 2024
andel: 55 Uge landet: 32
År: 2025
andel: 95 Uge landet: 32
År: 2024
andel: 55 Uge landet: 31
År: 2025
andel: 95 Uge landet: 31
År: 2024
andel: 55 Uge landet: 30
År: 2025
andel: 95 Uge landet: 30
År: 2024
andel: 55 Uge landet: 29
År: 2025
andel: 95 Uge landet: 29
År: 2024
andel: 55 Uge landet: 28
År: 2025
andel: 95 Uge landet: 28
År: 2024
andel: 55 Uge landet: 27
År: 2025
andel: 93 Uge landet: 27
År: 2024
andel: 54 Uge landet: 26
År: 2025
andel: 93 Uge landet: 26
År: 2024
andel: 54 Uge landet: 25
År: 2025
andel: 92 Uge landet: 25
År: 2024
andel: 50 Uge landet: 24
År: 2025
andel: 90 Uge landet: 24
År: 2024
andel: 47 Uge landet: 23
År: 2025
andel: 86 Uge landet: 23
År: 2024
andel: 44 Uge landet: 22
År: 2025
andel: 78 Uge landet: 22
År: 2024
andel: 41 Uge landet: 21
År: 2025
andel: 70 Uge landet: 21
År: 2024
andel: 31 Uge landet: 20
År: 2025
andel: 61 Uge landet: 20
År: 2024
andel: 22 Uge landet: 19
År: 2025
andel: 47 Uge landet: 19
År: 2024
andel: 16 Uge landet: 18
År: 2026
andel: 17 Uge landet: 18
År: 2025
andel: 39 Uge landet: 18
År: 2024
andel: 12 Uge landet: 17
År: 2026
andel: 5 Uge landet: 17
År: 2025
andel: 17 Uge landet: 17
År: 2024
andel: 6 Uge landet: 16
År: 2025
andel: 4 Uge landet: 16
År: 2024
andel: 1 Uge landet: 15
År: 2025
andel: 0 Uge landet: 14
År: 2025
andel: 0
Plot of andel by uge identified by aar

Kvotefarvand svarer til koder anvendt i TAC/Kvoteforordningen.
Note: Der kan forekomme flex mellem kvoter som ikke er medtaget i denne præsentation
Kilde: Styrelsen for Fødevare, Landbrug og Fiskeri's afregningsregister, 2. maj 2026 3:04 - foreløbige tal


Logo
 
Danmarks kvoteudnyttelse 2024-2026 i procent (akkumuleret) fordelt på uger.
Art = Tobis og Kvotefarvand = 234_3R

Uge landet: 52
År: 2024
andel: 27 Uge landet: 51
År: 2024
andel: 27 Uge landet: 50
År: 2024
andel: 27 Uge landet: 49
År: 2024
andel: 27 Uge landet: 48
År: 2024
andel: 27 Uge landet: 47
År: 2024
andel: 27 Uge landet: 46
År: 2024
andel: 27 Uge landet: 45
År: 2024
andel: 27 Uge landet: 44
År: 2024
andel: 27 Uge landet: 43
År: 2024
andel: 27 Uge landet: 42
År: 2024
andel: 27 Uge landet: 41
År: 2024
andel: 27 Uge landet: 40
År: 2024
andel: 27 Uge landet: 39
År: 2024
andel: 27 Uge landet: 38
År: 2024
andel: 27 Uge landet: 37
År: 2024
andel: 27 Uge landet: 36
År: 2024
andel: 27 Uge landet: 35
År: 2024
andel: 27 Uge landet: 34
År: 2024
andel: 27 Uge landet: 33
År: 2024
andel: 27 Uge landet: 32
År: 2024
andel: 27 Uge landet: 31
År: 2024
andel: 27 Uge landet: 30
År: 2024
andel: 27 Uge landet: 29
År: 2024
andel: 27 Uge landet: 28
År: 2024
andel: 27 Uge landet: 27
År: 2024
andel: 27 Uge landet: 26
År: 2024
andel: 24 Uge landet: 25
År: 2024
andel: 24 Uge landet: 24
År: 2024
andel: 24 Uge landet: 23
År: 2024
andel: 22 Uge landet: 22
År: 2024
andel: 17 Uge landet: 21
År: 2024
andel: 17 Uge landet: 20
År: 2024
andel: 5 Uge landet: 19
År: 2024
andel: 1
Plot of andel by uge identified by aar

Kvotefarvand svarer til koder anvendt i TAC/Kvoteforordningen.
Note: Der kan forekomme flex mellem kvoter som ikke er medtaget i denne præsentation
Kilde: Styrelsen for Fødevare, Landbrug og Fiskeri's afregningsregister, 2. maj 2026 3:04 - foreløbige tal


Logo
 
Danmarks kvoteudnyttelse 2024-2026 i procent (akkumuleret) fordelt på uger.
Art = Tobis og Kvotefarvand = 234_6

Uge landet: 52
År: 2025
andel: 25 Uge landet: 52
År: 2024
andel: 1 Uge landet: 51
År: 2025
andel: 25 Uge landet: 51
År: 2024
andel: 1 Uge landet: 50
År: 2025
andel: 25 Uge landet: 50
År: 2024
andel: 1 Uge landet: 49
År: 2025
andel: 25 Uge landet: 49
År: 2024
andel: 1 Uge landet: 48
År: 2025
andel: 25 Uge landet: 48
År: 2024
andel: 1 Uge landet: 47
År: 2025
andel: 25 Uge landet: 47
År: 2024
andel: 1 Uge landet: 46
År: 2025
andel: 25 Uge landet: 46
År: 2024
andel: 1 Uge landet: 45
År: 2025
andel: 25 Uge landet: 45
År: 2024
andel: 1 Uge landet: 44
År: 2025
andel: 25 Uge landet: 44
År: 2024
andel: 1 Uge landet: 43
År: 2025
andel: 25 Uge landet: 43
År: 2024
andel: 1 Uge landet: 42
År: 2025
andel: 25 Uge landet: 42
År: 2024
andel: 1 Uge landet: 41
År: 2025
andel: 25 Uge landet: 41
År: 2024
andel: 1 Uge landet: 40
År: 2025
andel: 25 Uge landet: 40
År: 2024
andel: 1 Uge landet: 39
År: 2025
andel: 25 Uge landet: 39
År: 2024
andel: 1 Uge landet: 38
År: 2025
andel: 25 Uge landet: 38
År: 2024
andel: 1 Uge landet: 37
År: 2025
andel: 25 Uge landet: 37
År: 2024
andel: 1 Uge landet: 36
År: 2025
andel: 25 Uge landet: 36
År: 2024
andel: 1 Uge landet: 35
År: 2025
andel: 25 Uge landet: 35
År: 2024
andel: 1 Uge landet: 34
År: 2025
andel: 25 Uge landet: 34
År: 2024
andel: 1 Uge landet: 33
År: 2025
andel: 25 Uge landet: 33
År: 2024
andel: 1 Uge landet: 32
År: 2025
andel: 25 Uge landet: 32
År: 2024
andel: 1 Uge landet: 31
År: 2025
andel: 25 Uge landet: 31
År: 2024
andel: 1 Uge landet: 30
År: 2025
andel: 25 Uge landet: 30
År: 2024
andel: 1 Uge landet: 29
År: 2025
andel: 25 Uge landet: 29
År: 2024
andel: 1 Uge landet: 28
År: 2025
andel: 25 Uge landet: 28
År: 2024
andel: 1 Uge landet: 27
År: 2025
andel: 25 Uge landet: 27
År: 2024
andel: 1 Uge landet: 26
År: 2025
andel: 25 Uge landet: 26
År: 2024
andel: 1 Uge landet: 25
År: 2025
andel: 25 Uge landet: 25
År: 2024
andel: 1 Uge landet: 24
År: 2024
andel: 1 Uge landet: 23
År: 2024
andel: 1 Uge landet: 22
År: 2024
andel: 1 Uge landet: 18
År: 2026
andel: 7 Uge landet: 17
År: 2026
andel: 7
Plot of andel by uge identified by aar

Kvotefarvand svarer til koder anvendt i TAC/Kvoteforordningen.
Note: Der kan forekomme flex mellem kvoter som ikke er medtaget i denne præsentation
Kilde: Styrelsen for Fødevare, Landbrug og Fiskeri's afregningsregister, 2. maj 2026 3:04 - foreløbige tal